امید محمدی؛ بازار گروه خودرو: هفته گذشته، گروه صنعتی ایران خودرو و گروه خودروسازی سایپا طی مراسمی با فاصله یک روز از نخستین نمونه های موتور و خودروهای هیبریدی داخلی رونمایی کردند؛ رویدادی که می تواند آغاز فصل تازه در صنعت خودروی کشور باشد. در شرایطی که ترافیک تهران روزانه میلیون ها لیتر سوخت را به گرما و آلودگی تبدیل می کند، ورود فناوری هیبریدی به خطوط تولید داخلی، بیش از آنکه یک تحول صنعتی باشد، یک ضرورت ملی در حوزه انرژی محسوب می شود.
بررسی ها نشان می دهد کلان شهر تهران به طور میانگین روزانه بیش از ۸ میلیون لیتر بنزین مصرف می کند؛ رقمی که بخش بزرگی از آن نه صرف جابه جایی موثر، بلکه در چرخه توقف و حرکت های ترافیکی تلف می شود. بر این اساس، کارشناسان انرژی معتقدند هر گونه بهبود در بهره وری سوخت، به ویژه از مسیر توسعه خودروهای هیبریدی، می تواند مستقیما به صرفه جویی ارزی، کاهش آلودگی هوا و افزایش بازده اقتصاد شهری منجر شود.
ترافیک تهران تنها یک مسئله تردد شهری نیست؛ بلکه مساله چند وجهی در حوزه انرژی، محیط زیست و اقتصاد ملی است. برآوردها نشان می دهد کلان شهر تهران به طور متوسط روزانه بیش از ۸ میلیون لیتر بنزین مصرف می کند که بخش قابل توجهی از آن در شرایط ترافیکی و توقف های مکرر تلف می شود. این حجم از اتلاف نه تنها فشار مستقیم به منابع انرژی کشور وارد می کند، بلکه به تشدید آلودگی هوا، فرسودگی تجهیزات خودرو و افزایش هزینه های پنهان اقتصادی نیز منجر می شود.
در چنین شرایطی، فناوری هیبریدی می تواند به عنوان حلقه میانی بین خودروهای بنزینی متداول و خودروهای تمام برقی، نقش راهبردی در کاهش مصرف سوخت و مهار آلودگی ایفا کند. در ادامه، این گزارش به صورت تحلیلی و علمی، ابعاد فنی و اقتصادی استفاده از خودروهای هیبریدی در ترافیک تهران را مورد بررسی قرار میدهیم.
اتلاف انرژی در رانندگی شهری
مصرف سوخت خودرو حاصل برهم کنش پنج گروه از عوامل فنی و محیطی است؛ فناوری و طراحی خودرویی، قوای محرکه، نوع سوخت، شرایط محیطی و نحوه رانندگی در مقدار مصرف سوخت تاثیر بسزایی دارد. در ترافیک شهری، رفتار رانندگی و الگوی توقف حرکت مهم ترین عامل محسوب می شوند.
در شرایط ایده آل، موتور احتراق داخلی باید در محدوده ای از دور موتور (RPM) فعالیت کند که بازده حرارتی آن بیشینه باشد. اما در تهران، میانگین سرعت خودروها در ساعات پر ترافیک به کمتر از ۲۰ کیلومتر بر ساعت می رسد و موتور در دورهای پایین و پرنوسان فعالیت می کند؛ وضعیتی که راندمان را به زیر ۲۰ درصد می رساند.
در چنین شرایطی، هر ترمز به معنای نابودی انرژی شیمیایی است که با سوختن بنزین تولید شده بود. بخش عمده این انرژی به صورت گرما از لنت ترمز به محیط منتقل می شود. از منظر فیزیکی، رانندگی در ترافیک را می توان نوعی «چرخه ناقص تبدیل انرژی» دانست؛ جایی که هر سیکل توقف و شتاب گیری، تنها بخش اندکی از انرژی ورودی را به حرکت مفید تبدیل می کند.

مفهوم «سرعت سبز» و نقطه بهینه مصرف
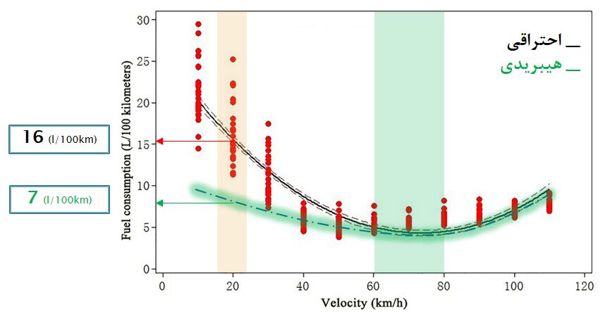
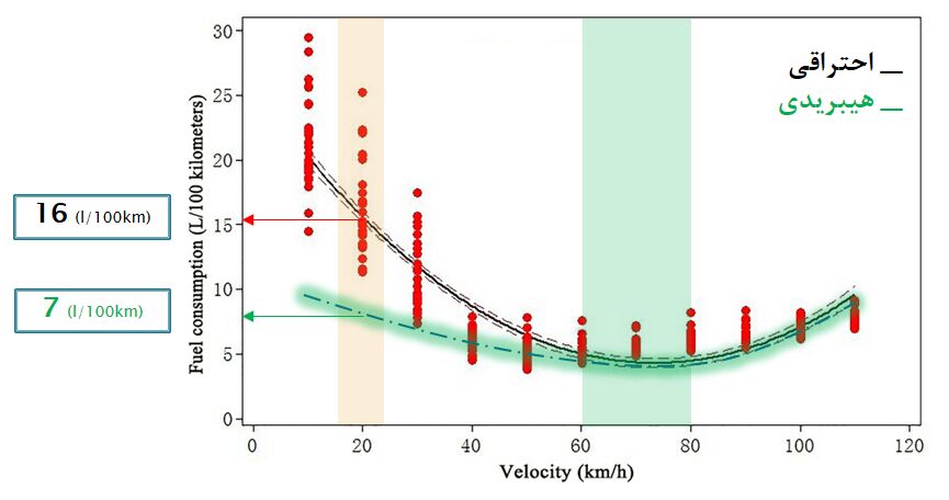
مطالعات بین المللی نشان می دهد برای خودروهای سبک (انواع سگمنت و کلاس خودروهای سواری)، بازه ۶۰ تا ۹۰ کیلومتر بر ساعت، نقطه تعادلی مصرف سوخت است. در این محدوده، نیروی مقاوم هوا و اصطکاک جاده با توان موتور در توازن قرار دارد. اما کاهش سرعت به زیر ۳۰ کیلومتر، موجب افزایش مصرف سوخت تا دو برابر می شود.
پژوهش های داخلی نیز این واقعیت را تایید می کند. داده های میدانی و بررسی های نگارنده این مطلب در مسیرهای پرتردد تهران، از جمله بزرگراه های همت و مدرس، نشان دادند که با افت سرعت میانگین از ۶۵ به ۲۰ کیلومتر، مصرف سوخت خودروهای معمولی تا ۲.۱ برابر افزایش یافته است. این به آن معناست که هر لیتر بنزین، تنها نیمی از کارایی بالقوه خود را در ترافیک واقعی دارد.

فناوری هیبریدی؛ راهکار مهندسی برای بازگرداندن بهره وری
خودروهای هیبریدی با ترکیب دو منبع نیرو موتور احتراق داخلی و موتور الکتریکی برای جبران ناکارآمدی که پیشتر به آن اشاره شد، طراحی شدند. در سرعت های پایین و هنگام توقف، سیستم کنترل هوشمند، موتور بنزینی را خاموش و نیروی محرکه را از موتور برقی تامین می کند. این وضعیت به ویژه در ترافیک سنگین تهران، منجر به صرفه جویی چشمگیر سوخت می شود. از سوی دیگر، فناوری بازیابی انرژی ترمز (Regenerative Braking) اجازه می دهد تا بخشی از انرژی جنبشی خودرو هنگام ترمزگیری، دوباره به الکتریسیته تبدیل و در باتری ذخیره شود. در عمل، این چرخه بسته موجب می شود راندمان کلی سیستم حرکتی در شهر تا ۴۰ درصد افزایش یابد.
به بیان فنی، موتورهای هیبریدی در شرایطی که موتورهای بنزینی در بازده ۱۵ تا ۱۸ درصد فعالیت می کنند، قادرند بازده ترکیبی ۳۰ تا ۳۵ درصدی ارائه دهند. این تفاوت، بهظاهر عددی کوچک است، اما در مقیاس ملی به معنای کاهش میلیون ها لیتر سوخت در روز است.
تاثیر اقلیم، ارتفاع و بار ترافیکی به عملکرد
تهران با ارتفاع میانگین ۱۲۰۰ متر از سطح دریا و تراکم حرارتی بالا در تابستان، یکی از نامطلوب ترین محیط ها برای راندمان موتور احتراق داخلی است. کاهش چگالی هوا در ارتفاع بالا موجب افت فشار اکسیژن و در نتیجه، کاهش کامل سوزی سوخت می شود. سیستم های هیبریدی به دلیل اتکای نسبی به موتور برقی، از این محدودیت کمتر تاثیر می پذیرند و ثبات عملکرد بالاتری دارند.
تست و بررسی های خبرنگار «بازار» نشان داده است که در شرایط مشابه آب و هوایی، مصرف سوخت یک خودروی هیبریدی نسبت به نمونه بنزینی معادل خود تا ۴۷ درصد کمتر است. این تفاوت در مسیرهای بین شهری به حدود ۲۰ درصد کاهش می یابد که ناشی از کاهش توقف های پیاپی است.

برآورد هزینه و بازده اقتصادی در مقیاس ملی
براساس آمار شرکت ملی پخش، مصرف روزانه بنزین کشور در سال جاری حدود ۱۲۵ میلیون لیتر بوده که سهم تهران بیش از ۸ میلیون لیتر است. اگر تنها ۳۰ درصد از ناوگان سبک این شهر به خودروهای هیبریدی تبدیل شود، صرفه جویی روزانه حدود ۱.۵ تا ۲ میلیون لیتر بنزین قابل تحقق است. با در نظر گرفتن یارانه پنهان حدود ۴۰ سنت برای هر لیتر بنزین، این معادل صرفه جویی ۳۰۰ میلیون دلار در سال است. به بیان ساده، سرمایه گذاری در واردات و مونتاژ خودروهای هیبریدی ظرف کمتر از دو سال از محل کاهش مصرف سوخت بازگشت پذیر خواهد بود. مضاف بر آن، کاهش هزینه نگهداری خودروهای هیبریدی (به ویژه در سیستم ترمز و موتور) حدود ۲۰ درصد در مقایسه با خودروهای معمولی است.
تاثیر زیست محیطی و سلامت عمومی
هر لیتر بنزین در فرآیند احتراق کامل حدود ۲.۳ کیلوگرم دی اکسید کربن تولید می کند. بر این اساس، کاهش ۲ میلیون لیتر مصرف روزانه سوخت، به معنای جلوگیری از انتشار حدود ۴۶۰۰ تن CO₂ در روز تنها در تهران است. این رقم، سالانه معادل جذب کربن توسط بیش از ۵۰ میلیون اصله درخت است.
از سوی دیگر، کاهش آلاینده هایی مانند منو اکسیدکربن، اکسیدهای نیتروژن و ذرات معلق PM₂.₅ تاثیر مستقیمی بر شاخص سلامت هوای پایتخت دارد. بررسی های وزارت بهداشت نشان می دهد هر ۱۰ درصد کاهش در آلاینده های ناشی از سوخت های فسیلی، می تواند ۷ درصد از مراجعات تنفسی در فصل سرد را کاهش دهد؛ عددی که از منظر هزینه های درمانی معادل صدها میلیارد تومان صرفه جویی است.
هزینه اولیه بالاتر خودروهای هیبریدی، همواره یکی از موانع توسعه این فناوری در بازار ایران بوده است. اما تحلیل اقتصادی نشان می دهد که تفاوت قیمت میانگین ۵۰۰ تا ۸۰۰ میلیون تومانی در مقایسه با خودروهای بنزینی مشابه، در مدت ۴ تا ۵ سال از محل صرفه جویی در مصرف سوخت جبران می شود. در شرایط کنونی که بنزین سهمیه ای محدود و مصرف بیشتر از سهیمه با نرخ آزاد عرضه می شود، این بازگشت سرمایه برای مصرف کننده نیز ملموس است.
در سطح کلان، توسعه ناوگان هیبریدی موجب کاهش فشار به پالایشگاه ها، افزایش صادرات فرآورده و در نهایت بهبود تراز ارزی کشور می شود. همچنین از منظر امنیت انرژی، کاهش وابستگی به بنزین وارداتی یا باکیفیت بالا، ظرفیت مدیریت بحران های احتمالی را افزایش می دهد.

سیاست های لازم برای تحقق تحول
تجربه کشورهایی مانند ژاپن و کره جنوبی نشان می دهد که توسعه فناوری هیبریدی نیازمند سیاست های ترکیبی است؛ معافیت گمرکی و مالیاتی برای واردات یا تولید خودروهای هیبریدی، ایجاد مشوق های بیمه ای و مالیاتی برای مصرفکنندگان، توسعه شبکه خدمات پس از فروش تخصصی و الزام تدریجی نوسازی ناوگان تاکسیرانی و حمل و نقل عمومی با خودروهای هیبریدی است. در صورت اجرای چنین بسته ای، سهم خودروهای هیبریدی در بازار کشور می تواند ظرف پنج سال به ۱۵ درصد برسد.
کلان شهر تهران در قلب یک بحران انرژی خاموش قرار دارد؛ بحرانی که نمود آن در مصرف بی رویه سوخت، آلودگی هوا و هزینه های پنهان اقتصادی است. در چنین وضعیتی، خودروهای هیبریدی نه صرفا به عنوان یک محصول لوکس، بلکه به عنوان یک راه حل ملی برای ارتقای بهره وری انرژی باید مورد توجه سیاست گذاران قرار گیرند.
گذار تدریجی از ناوگان بنزینی به ناوگان هیبریدی، اقدامی کم هزینه، سریع و منطبق بر شرایط زیر ساختی کشور است. اگر این مسیر با سیاست های حمایتی و برنامه ریزی هوشمندانه همراه شود، می تواند نقطه آغاز تحول در الگوی مصرف سوخت، کاهش فشار به منابع ملی و ارتقای کیفیت زندگی در پایتخت باشد.




نظر شما